29.05.2018 11:50
639
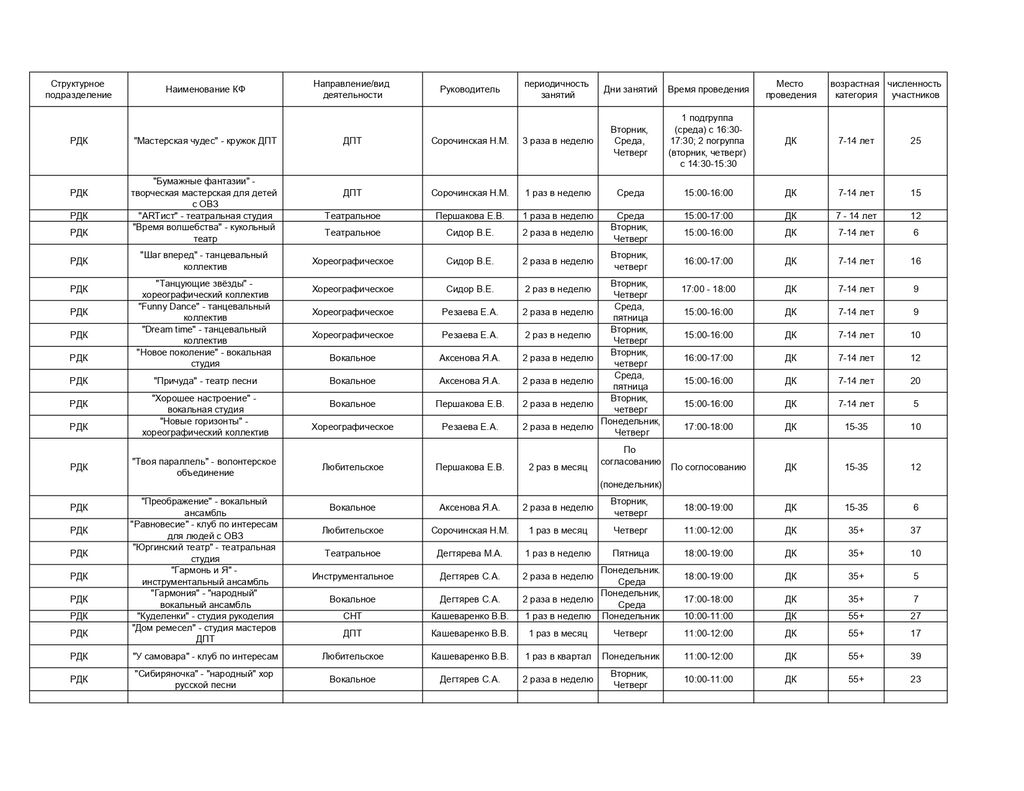
Клубные формирования РДК
|
"Новые горизонты" - хореографический коллектив |
|---|
|
Вокальный ансамбль "Гармония" |
|
|
|
Народный хор "Сибиряночка" |
|
"Преображение"- вокальный ансамбль |
|
Театр песни "Причуда" (младшая группа) |
|
"Новое поколение" - вокальная студия |
Расписание клубных формирований



